Tấm sàn rỗng Hollow core là sản phẩm thay thế tấm sàn đặc, tấm sàn xốp trước đây trong xây dựng nhà máy, nhà xưởng với nhiều ưu điểm vượt trội, đặc biệt là khả năng tiết kiệm vật liệu, tiết kiệm chi phí và vượt nhịp, vượt khẩu độ lớn. Hiện Châu Âu Nam là nhà máy hiện đại nhất hiện nay có khả năng sản xuất sản phẩm này.
1. Thông số kỹ thuật
1.1. Kiểu dáng tấm và vị trí cáp dự ứng lực

Kiểu dáng tấm và vị trí cáp dự ứng lực tấm sàn rỗng Hollow core H=150

Kiểu dáng tấm và vị trí cáp dự ứng lực tấm sàn rỗng Hollow core H=200

Kiểu dáng tấm và vị trí cáp dự ứng lực tấm sàn rỗng Hollow core H=250
1.2. Bảng tải trọng – Nhịp tối đa (m)
| Mã cáp dự ứng lực | Mô tả cáp dự ứng lực | Diện tích thép (mm2) | Mrd (kNm/1,2m) | Tải tọng làm việc (kN/m2) | |||||||||||
| 2,0 | 3,0 | 4,0 | 5,0 | 6,0 | 7,0 | 8,0 | 9,0 | 10,0 | 11,0 | 13,0 | 15,0 | ||||
| TẤM SÀN RỖNG (HOLLOW CORE) DỰ ỨNG LỰC 6 LỖ H=150 | |||||||||||||||
| S1 | 4 3/8” | 208,0 | 38,14 | 6,73 | 5,98 | 5,43 | 5,01 | 4,68 | 4,40 | 4,17 | 3,97 | 3,80 | 3,65 | 3,39 | 3,18 |
| S1 | 7 3/8” | 364,0 | 62,51 | 8,61 | 7,65 | 6,95 | 6,42 | 5,99 | 5,64 | 5,34 | 5,08 | 4,86 | 4,56 | 3,97 | 3,52 |
| S3 | 4 3/8” + 3 1/2” | 487,0 | 80,06 | 9,04 | 8,45 | 7,87 | 7,26 | 6,78 | 6,38 | 5,98 | 5,44 | 5,00 | 4,62 | 4,02 | 3,56 |
| S4 | 2 3/8” + 5 1/2” | 569,0 | 91,17 | 9,27 | 8,65 | 8,16 | 7,75 | 7,23 | 6,71 | 6,03 | 5,49 | 5,04 | 4,66 | 4,05 | 3,59 |
| S5 | 7 1/2” | 651,0 | 101,72 | – | – | – | 7,91 | 7,56 | 6,76 | 6,08 | 5,53 | 5,07 | 4,69 | 4,08 | 3,62 |
| TẤM SÀN RỖNG (HOLLOW CORE) DỰ ỨNG LỰC 6 LỖ H=200 | |||||||||||||||
| S1 | 4 3/8” | 208,0 | 57,28 | 7,82 | 7,02 | 6,43 | 5,96 | 5,59 | 5,27 | 5,01 | 4,78 | 4,58 | 4,40 | 4,10 | 3,85 |
| S2 | 7 3/8” | 364,0 | 98,29 | 10,25 | 9,20 | 8,42 | 7,81 | 7,32 | 6,91 | 6,56 | 6,26 | 5,99 | 5,76 | 5,09 | 4,53 |
| S3 | 4 3/8” + 3 1/2” | 487,0 | 126,44 | 11,63 | 10,44 | 9,55 | 8,86 | 8,30 | 7,83 | 7,44 | 6,97 | 6,41 | 5,94 | 5,18 | 4,60 |
| S4 | 2 3/8” + 5 1/2” | 569,0 | 144,39 | 12,06 | 11,15 | 10,21 | 9,47 | 8,87 | 8,37 | 7,72 | 7,04 | 6,48 | 6,00 | 5,23 | 4,65 |
| S5 | 7 1/2” | 651,0 | 161,75 | 12,36 | 11,58 | 10,80 | 10,02 | 9,39 | 8,64 | 7,80 | 7,11 | 6,54 | 6,06 | 5,28 | 4,69 |
| TẤM SÀN RỖNG (HOLLOW CORE) DỰ ỨNG LỰC 6 LỖ H=250 | |||||||||||||||
| Mã cáp dự ứng lực | Mô tả cáp dự ứng lực | Diện tích thép (mm2) | Mrd (kNm/1,2m) | Tải tọng làm việc (kN/m2) | |||||||||||
| 3,0 | 4,0 | 5,0 | 6,0 | 7,0 | 8,0 | 9,0 | 10,0 | 13,0 | 15,0 | 18,0 | 20,0 | ||||
| S1 | 7 3/8” | 364,0 | 128,6 | 10,1 | 9,30 | 8,67 | 8,15 | 7,72 | 7,34 | 7,02 | 6,73 | 6,05 | 5,70 | 5,27 | 5,03 |
| S2 | 9 3/8” | 468,0 | 163,6 | 11,39 | 10,50 | 9,78 | 9,19 | 8,70 | 8,28 | 7,92 | 7,60 | 6,83 | 6,43 | 5,69 | 5,21 |
| S3 | 12 3/8” | 624,0 | 209,9 | 12,91 | 11,89 | 11,08 | 10,42 | 9,86 | 9,38 | 8,97 | 8,61 | 7,73 | 6,94 | 5,96 | 5,45 |
| S4 | 17 3/8” + 2 3/8”(top) | 988,0 | 267,3 | 13,25 | 12,61 | 12,09 | 11,64 | 11,13 | 10,59 | 10,12 | 9,71 | 8,60 | 7,64 | 6,56 | 6,00 |
| S5 | 6 1/2” + 7 3/8” + 4 3/8”(top) | 1130,0 | 325,0 | 13,57 | 12,91 | 12,39 | 11,91 | 11,50 | 11,13 | 10,80 | 10,51 | 8,96 | 7,96 | 6,83 | 6,24 |
Mức tải và nhịp trong bảng trên có thể tăng trong các trường hợp sau:
- Lớp bê tông đổ tại chỗ tạo thành một khối tổng thể;
- Một phần hoặc toàn bộ lõi rỗng được trám kín bằng bê tông theo nhu cầu sử dụng;
- Sản liên tục hoặc ngàm bán phần;
- Tải trọng làm việc bổ sung bao gồm 1.00kN/m² như Tĩnh Tải đối với Tấm sàn rỗng Hollow core dự ứng lực 6 lỗ H=150, H=200;
- Tải trọng làm việc bổ sung bao gồm 2.00kN/m² như Tĩnh Tải đối với Tấm sàn rỗng Hollow core dự ứng lực 6 lỗ H=200.
1.3. Các đặc tính theo mặt cắt ngang và thông số kỹ thuật của vật liệu
| STT | ĐẶC TÍNH | THÔNG SỐ KỸ THUẬT | ĐƠN VỊ |
| 1 | Cường độ bê tông ở ngày 28 | 45 | Mpa |
| 2 | Cường độ bê tông tại thời điểm cắt cáp | 30 | Mpa |
| 3 | Tỷ trọng của bê tông | 2.400 | kg/m3 |
| 4 | Cường độ chịu kéo tối đa của thép | 1.860 | Mpa |
| 5 | Ứng suất kéo của thép | 1.302 | Mpa |
1.4. Khả năng chịu lửa – Mômen uốn Mrdf (kNm/1.2m)
| Vị trí cáp (mm) | Thời gian tiếp xúc | S1 | S2 | S3 | S4 | S5 |
| TẤM SÀN RỖNG (HOLLOW CORE) DỰ ỨNG LỰC 6 LỖ H=150 | ||||||
| 30 | 60 | 22,96 | 39,73 | 52,65 | 61,12 | 69,48 |
| 35 | 90 | 17,12 | 29,70 | 39,44 | 45,84 | 52,17 |
| TẤM SÀN RỖNG (HOLLOW CORE) DỰ ỨNG LỰC 6 LỖ H=200 | ||||||
| 30 | 60 | 37,53 | 65,10 | 86,46 | 100,49 | 114,38 |
| 35 | 90 | 29,88 | 51,92 | 69,05 | 80,32 | – |
| TẤM SÀN RỖNG (HOLLOW CORE) DỰ ỨNG LỰC 6 LỖ H=250 | ||||||
| 30 | 60 | 84,7 | 108,3 | 143,4 | 219,0 | 271,2 |
| 35 | 90 | 67,9 | 87,0 | 115,3 | 180,2 | 223,4 |
| 40 (S1,S2,S3) / 35 (S4,S5,S6) | 120 | 60,1 | 77,0 | 102,1 | 139,1 | 171,4 |
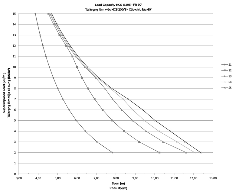
1.5. Biểu đồ khả năng chịu tải

Biểu đồ khả năng chịu tải của Tấm sàn rỗng dự ứng lực 6 lỗ H=150


Biểu đồ khả năng chịu tải của Tấm sàn rỗng dự ứng lực 6 lỗ H=200

Biểu đồ khả năng chịu tải của Tấm sàn rỗng dự ứng lực 6 lỗ H=250
2. Ưu điểm của tấm sàn rỗng Hollow core
- Áp dụng rộng rãi trong các công trình thương mại, công nghiệp và dân dụng;
- Có thể áp dụng cho các nhịp với với cấu kiện nhỏ gọn có khả năng chịu tải lớn;
- Tỷ lệ nước/xi măng thấp trong bê tông giúp các cấu kiện có độ cứng cao ngay cả khi độ mảnh lớn (lên đến 1/42), do đó giảm thiểu biến dạng ngay cả với các kết cấu đơn giản;
- Có thể sử dụng các phần tử với các kết cấu hỗ trợ khác nhau như tường gạch bê tông, dầm thép, dầm đúc tại chỗ, dầm đúc sẵ, v.v.
- Có thể tạo liên kết gia cường liên tục giữa các cấu kiện để chống lại mômen âm, giúp đảm bảo điều kiện tĩnh tối ưu ngay cả trong khu vực có động đất;
- Khả năng tự chịu lực trong giai đoạn thi công: Điều này giúp tránh sử dụng giàn chống trong quá trình lắp dựng. Sàn có thể được chịu tải ngay sau khi lắp đặt mà thâm chí không cần lớp bê tông đổ tại chỗ;
- Giảm lượng bê tông cần thiết cho các khe liên kết giữa các tấm sàn;
- Trong trường hợp các các cấu kiện mảnh, có thể sử dụng chúng làm vách tường với mối ghép âm dương. Các cấu kiện này cũng có thể có bề mặt hoàn thiện thô lộ cốt liệu với nhiều màu sắc khác nhau;
- Có thể sản xuất tấm sàn tăng độ dày phần đáy nhằm tăng khả năng chịu lửa;
- Lắp đặt đơn giản và nhanh chóng (3-4 công nhân có thể lắp đặt tới 500/600 m² sàn mỗi ngày);
- Độ bền tối ưu chống cacbonat hóa nhờ công nghệ sản xuất, đảm bảo sự nén chặt đồng đều của bê tông, do đó tối đa khả năng chống thấm và cường độ cơ học cao;
- Sản lượng sản xuất mỗi ngày cao với chất lượng ổn định và được kiểm soát;
- Các cấu kiện có độ hoàn thiện chất lượng cao, đặc biệt là bề mặt dưới, thường chỉ cần sơn phủ hoặc sơn trang trí.
3. Ứng dụng
- Mục đích sử dụng của Tấm sàn rỗng dự ứng lực 6 lỗ H-150 là nhà ở;
- Mục đích sử dụng của Tấm sàn rỗng dự ứng lực 6 lỗ H-200 và Tấm sàn rỗng dự ứng lực 6 lỗ H-250 là văn phòng.
4. Các thông số bổ sung liên quan tới khả năng chịu lửa
- Loại cốt liệu: đá vôi; Loại xi măng: 52.5R;
- Bê tông được bảo dưỡng nhanh và được bảo vệ chống mất nước;
- Phân loại: CC2 (rủi ro trung bình) và lớp tiếp xúc: XC1;
- Khả năng chịu cắt trong điều kiện cháy không được tính đến vì nó bị ảnh hưởng lớn bởi số lượng lõi được mở ở hai đầu và được đổ đầy bê tông tại công trường cùng với cốt thép thông thường.
5. Lý do bạn nên chọn AMACCAO
– Lý do thứ nhất: AMACCAO luôn hướng tới việc đưa ra các giải pháp công nghệ hiện đại hàng đầu nhằm tạo ra các sản phẩm:
- Mang chất lượng cao, đạt tiêu chuẩn quốc tế;
- Đảm bảo về mặt kết cấu, an toàn cho công trình;
- Đảm bảo về cảnh quan, kiến trúc;
- Giúp rút ngắn thời gian thi công;
- Mang lại hiệu quả kinh tế cao.
– Lý do thứ hai: Với năng lực sản xuất vượt trội, AMACCAO sẵn sàng cung ứng đa dạng với số lượng lớn cấu kiện cho chủ đầu tư, tổng thầu xây dựng các công trình dân dụng, công nghiệp, thủy lợi, cảng biển trong nước và quốc tế.
– Lý do thứ ba: AMACCAO hiện đang giữ vị trí số 1 Việt Nam về cả chất lượng sản phẩm lẫn dịch vụ vận chuyển, thi công chuyên nghiệp, nhanh chóng
– Lý do thứ tư: AMACCAO liên tiếp đạt các giải thưởng về uy tín thương hiệu, trở thành đối tác quen thuộc của các nhà thầu, chủ đầu tư bất động sản hàng đầu Việt Nam cùng công ty nước ngoài như Coteccons, Vingroup, Sungroup, CDC Hà Nội, Samsung Engineering, Hyundai E&C, Ghella, Tokyu, Shimizu Corporation…



Hình ảnh thực tế tấm sàn rỗng Hollow core thương hiệu AMACCAO

